Borsa
Modello di Markowitz: teoria del portafoglio, frontiera efficiente ed esempi

Indice
Teoria del portafoglio di Markowitz? In qualità di investitori, cerchiamo sempre di diversificare il nostro rischio nella scelta degli asset per il nostro portafoglio di investimenti. Oggi spiegheremo "teoria del portafoglio di Markowitz, il concetto ed esempi". La conoscenza di questa teoria sarà un buon strumento per soddisfare i nostri scopi. Chi ha scoperto l'importanza della diversificazione di un portafoglio finanziario?
L'economista Harry Markowitz è considerato il padre del concetto di diversificazione di portafoglio che oggi conosciamo.
Confrontare strumenti e costi per costruire portafogli diversificati:

Prodotti offerti
Azioni, ETF, Fondi di Investimento, Opzioni, Futures, Commodities, CFD, Forex, Piano d'Accumulo del Capitale
Piattaforma
FinecoX, PowerDesk

Prodotti offerti
Azioni, ETF, Fondi di Investimento, Criptovalute, Piano d'Accumulo del Capitale
Piattaforma
WebTrader
Chi è Harry Markowitz
Nato a Chicago, Ilinois, Harry Markowitz è nato nel 1927. È membro della prestigiosa “Chicago School of Economics”, essendo uno dei più importanti analisti di investimento a livello mondiale, scrive il suo articolo "Portfolio Selection", pubblicato nel 1952. Basandosi su questo portfolio nella sua tesi di dottorato, un fatto che segnerà la sua carriera e aprirà un nuovo campo nello studio della composizione ottimale di un portafoglio di investimenti.
Riceve il Premio Nobel per l'economia, per i suoi contributi alla teoria della gestione del portafoglio, insieme a Miller e Sharpe.
Modello di Markowitz: ipotesi di base
La Teoria del Portafoglio di Harry Markowitz, introdotta nel 1952, rappresenta un pilastro fondamentale nella moderna teoria finanziaria, ponendosi come una pietra miliare nel campo dell'investimento e della gestione del rischio. Questa teoria, nota anche come "Teoria del Portafoglio Moderno" (MPT), si basa sul concetto di diversificazione, proponendo un metodo quantitativo per l'assemblaggio di un portafoglio di attivi che mira a massimizzare il rendimento per un dato livello di rischio.
Il modello si basa fondamentalmente su due ipotesi, che spieghiamo di seguito.
Ipotesi sul comportamento dell’investitore
- Gli investitori sono razionali e massimizzano l’utilità attesa.
- L’utilità dipende da rendimento atteso (redditività) e varianza/deviazione standard (rischio).
- A varianza uguale si preferisce il rendimento più alto; a rendimento uguale si preferisce la varianza più bassa.
- Le curve di indifferenza sono crescenti e convesse: maggiore rischio = maggiore rendimento richiesto.
Ipotesi su asset e mercati finanziari
- Mercati perfetti: informazioni disponibili e gratuite, assenza di costi di transazione e tasse.
- I titoli sono divisibili; gli investitori sono price taker.
- Orizzonte di pianificazione a un periodo.
- Esistono N attività rischiose negoziate; nella versione base non si assume un’attività priva di rischio.
- I titoli sono liquidi a fine periodo.
Vuoi diversificare il portafoglio?
Come si sviluppa il modello di Markowitz
Il modello proposto mira a determinare il “portafoglio ottimale”, cioè quello che massimizza l'utilità attesa dall'investitore.
A tal fine, viene determinato un processo in quattro fasi:
- 1. Determinazione dell'insieme delle possibilità di investimento offerte dal mercato (insieme vitale)
- A.- Vengono analizzate le “N” attività rischiose e gli eventuali portafogli negoziati sui mercati, stimandone la redditività attesa, le varianze e le covarianze tra i rendimenti di ciascuna coppia di possibili attività finanziarie.
- B.- Con due titoli con correlazione intermedia, le combinazioni si trovano su un'iperbole tracciata tra tali livelli, il cui grado di curvatura è tanto maggiore quanto minore è la correlazione tra i rendimenti dei due asset.
- C.- Con N attività finanziarie e correlazione intermedia è una regione che chiamiamo un insieme vitale.
- 2. Determinazione dell'insieme o della frontiera efficiente.
Portafoglio efficiente: è quello che soddisfa due condizioni:
- 1. Per il tuo livello di rendimento atteso, non c'è nessun altro portafoglio che abbia un rischio inferiore.
- 2. Per il rischio che comporta, non vi è altra opportunità di investimento che consenta di ottenere un rendimento atteso più elevato, ovvero fornisce il massimo rendimento atteso possibile per il proprio livello di rischio.
Come si sviluppa analiticamente il modello di Markowitz
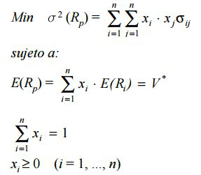
L'insieme dei portafogli efficienti può essere calcolato risolvendo il seguente programma quadratico parametrico:

- • Xi: è la percentuale del budget dell'investitore assegnata alle attività finanziarie
- • i: sconosciuto del programma
- • σ ^ 2 (Rp): varianza del portafoglio p
- • ij: covarianza tra i rendimenti dei valori i e j
- • E (Rp): redditività o rendimento atteso del portafoglio p
L'insieme delle coppie [E (Rp), σ ^ 2 (Rp)] o le combinazioni rischio-rendimento di tutti i portafogli efficienti è chiamato "frontiera efficiente". Una volta noto, l'investitore, in base alle sue preferenze, sceglierà il suo portafoglio ottimale.
Vuoi imparare a costruire e testare la frontiera? Provaci sui conti demo dei migliori broker:
Quando un portafoglio si dice efficiente secondo Markowitz?
Un portafoglio si definisce "efficiente" secondo Markowitz quando occupa una posizione tale sulla frontiera efficiente che non è possibile ottenere un maggiore rendimento senza accettare un aumento proporzionale del rischio. In termini pratici, un portafoglio efficiente è quello che offre il miglior rendimento atteso per un dato livello di volatilità (o deviazione standard), oppure il minor rischio per un dato livello di rendimento atteso.
Come si calcola il valore di un portafoglio?
Il rendimento atteso di un portafoglio (E(Rp)) è calcolato come la somma ponderata dei rendimenti attesi delle singole attività che lo compongono. Matematicamente, viene espresso come:
E(Rp)=∑(wi×E(Ri))
dove wi rappresenta il peso dell'i-esima attività nel portafoglio e E(Ri) è il rendimento atteso dell'i-esima attività. Questa formula implica che l'investitore deve considerare non solo il rendimento atteso di ogni attività, ma anche come queste attività si combinano tra loro, in termini di correlazione finanziaria, per formare il portafoglio.
Vantaggi e svantaggi del modello Markowitz
Vantaggi
- Diversificazione misurabile e non solo intuitiva
- Definisce la frontiera efficiente e chiarisce il trade-off rischio/rendimento
- Rigore matematico e replicabilità
- Base per l’asset allocation con vincoli (no short, pesi min/max)
- Facilmente implementabile con software comuni (es. Excel)
Svantaggi
- Forte sensibilità agli input (medie, varianze, covarianze)
- Ipotesi semplificatrici (niente costi/tasse, divisibilità perfetta, mercati “perfetti”)
- Assunzione (spesso implicita) di normalità dei rendimenti
- Overfitting su dati storici e scarsa robustezza fuori campione
- Non identifica la funzione di utilità dell’investitore
- Complessità matematica del modello: inizialmente si è affermato che l'algoritmo di risoluzione era complesso e che l'elevato numero di stime di rendimenti attesi, varianze e covarianze da calcolare era molto elevato. Anche se vale la pena notare che oggi con l'hardware e il software appropriati la risoluzione dello stesso è molto semplificata. Come ad esempio in EXCEL.
- Ipotesi del modello: il modello di Markowitz non tiene conto dei costi di transazione o delle tasse e considera anche la perfetta divisibilità dei titoli selezionati. Questi svantaggi possono essere risolti introducendo nuove restrizioni al modello
- Valutazione del rischio: il modello non ha alcuno strumento per l'investitore per valutare il suo atteggiamento nei confronti del rischio e dedurre la sua funzione di utilità, necessaria per determinare il suo portafoglio ottimale.
Quali sono le principali problematiche del modello di Markowitz?
Nonostante l'ampia applicazione e l'influenza del modello di Markowitz nell'ambito della gestione degli investimenti, esso non è privo di criticità:
- Sensibilità agli input: piccole variazioni di rendimenti/varianze/covarianze cambiano molto i pesi (instabilità).
- Matrice di covarianza fragile: con molti asset e pochi dati è mal condizionata.
- Dipendenza dallo storico: regimi di mercato mutevoli rendono i risultati poco trasferibili.
- Normalità non realistica: varianza non cattura code grasse e asimmetrie.
- Costi e frizioni ignorati: commissioni, bid-ask, fiscalità e lot size non modellati.
- Preferenze non osservabili: il modello non stima la funzione di utilità. Mitigazione: tradurre obiettivi in vincoli (TE, vol target, concentrazione).
- Vincoli pratici e short: senza vincoli emergono pesi estremi; con no-short pesi ai limiti. Mitigazione: no-short + min/max realistici, regularized mean-variance.
- Ribilanciamento e turnover: portafogli instabili = costi ricorrenti.
- Qualità dati e bias: survivorship/look-ahead, outlier, buchi informativi.
- Complessità e implementazione: oggi gestibile (Excel/ tool), ma la qualità degli input resta cruciale.
- Vincolo di pieno investimento (100%): cash escluso di default.
Per concludere, possiamo dire che il modello di Markowitz richiede di investire il 100% del capitale disponibile per effettuare l'analisi. Tuttavia, è l'investitore che decide se salvare i propri flussi altrove o spenderli. Ma in termini di rapporto costi-benefici, il modello soddisfa quanto richiesto.
La teoria del portafoglio di Markowitz può essere utilizzata?
Nonostante le sue limitazioni, la teoria di Markowitz rimane uno strumento prezioso per gli investitori che cercano di costruire portafogli diversificati. L'impiego di software di ottimizzazione moderni e l'accesso a vasti database finanziari hanno semplificato l'applicazione del modello. Gli investitori possono, inoltre, utilizzare tecniche di simulazione come il Monte Carlo per testare la robustezza dei portafogli ottimizzati contro differenti scenari di mercato, mitigando alcuni dei limiti legati all'uso di dati storici.
In conclusione, nonostante le sfide e le criticità, il modello di Markowitz continua a offrire intuizioni fondamentali per la creazione di portafogli efficienti, enfatizzando l'importanza della diversificazione e dell'equilibrio tra rendimento e rischio.
Cerchi un broker per investire?




