Fondi
Coefficienti Alpha e Beta: qual è la differenza?

Alfa e Beta sono due coefficienti che rappresentano rispettivamente: il rendimento extra che il gestore dovrebbe ottenere rispetto al benchmark e la misura del rischio sistematico di un’attività finanziaria nell'ambito del Capital Asset Pricing Model. In questo articolo vedremo le differenze tra Alpha e Beta e cosa rappresentano negli investimenti.
Cosa sono i coefficienti Alpha e Beta
In finanza è molto comune sentire parlare di “Alfa e Beta”, indicati dalle lettere dell'alfabeto greco α e ß; due indicatori di rischio molto popolari per valutare la performance di un prodotto finanziario e per scegliere la soluzione migliore per investire i propri risparmi. Vediamo ora il significato di alfa e beta.
Cosa rappresenta il coefficiente Beta
Il coefficiente Beta è una misura del rischio sistematico e riflette la performance di un titolo o di un portafoglio rispetto alla volatilità del suo indice di riferimento o, in altre parole, la variazione di un titolo rispetto alla variazione del mercato.
Comportamento del Beta del mercato
- Normalmente il mercato ha un Beta uguale a 1: ciò significa che l'azione o il portafoglio in questione si muoverà in modo simile al mercato.
- Se Beta è inferiore a 1, significa che la volatilità sarà inferiore a quella del mercato.
Cosa rappresenta il coefficiente Alpha
Se il Beta misura la reattività dell'azione al mercato (rischio sistematico), il coefficiente alfa mostrerà la capacità di un'azione di cambiare valore indipendentemente dall'andamento del mercato (rischio specifico).
In questo caso, un'alfa positiva indica che il titolo sarà in grado di sovraperformare il mercato di riferimento e un'alfa negativa indica la possibilità che il mercato possa subire perdite indipendentemente dalla tendenza generale del mercato.
Alfa e Beta nei fondi comuni
Quando si investe in fondi d'investimento, si devono prendere in considerazione alcuni rapporti o indicatori che ci aiutano a stabilire quale fondo scegliere; da qui l'importanza di queste misure.
Come calcolare Alfa e Beta
Alpha misura la capacità o l'abilità di un manager di generare valore per il fondo d'investimento. In altre parole, questo indice misura l'eccesso di redditività; quindi, se il risultato è un Alpha positivo, significa che il gestore del fondo ha contribuito alla redditività extra e se l'Alpha è negativo, il gestore non è stato in grado di aggiungere valore al fondo o, in altre parole, non ha selezionato correttamente i titoli.
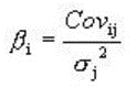
Formula del coefficiente Alfa

Formula del coefficiente Beta
L'indice Beta del fondo comune misura la sensibilità del fondo ai movimenti dell'indice di riferimento; in questo caso, il Beta mostrerà come varia la performance del fondo rispetto alla performance dell'indice di riferimento.

Come interpretare il risultato Beta:
- Beta = 1: significa che il valore patrimoniale netto del fondo comune si evolverà come il suo benchmark.
- Beta < 1: Il fondo comune è meno volatile del benchmark, quindi il suo valore patrimoniale netto salirà o scenderà di una percentuale minore rispetto al mercato (fondo ideale per investitori conservatori).
- Beta > 1: Il fondo comune è più volatile del suo benchmark, quindi il valore patrimoniale netto salirà o scenderà di una percentuale maggiore rispetto al mercato (profilo dell'investitore più aggressivo).
Differenze tra Alpha e Beta
Come abbiamo letto Alpha e Beta sono due indicatori di rischio molto importanti, ma le differenze principali sono queste:
- Valutando con il Beta, l'investitore può valutare a quanto rischio sistematico è esposto un prodotto finanziario; quindi più alto è il Beta, più la sua azione sarà dipendente dai movimenti del mercato e se risulta essere più basso, più sarà volatile.
- A differenza di Beta, Alpha misura il rendimento attivo dell'investimento o la possibilità di sovraperformare il benchmark. In altre parole, se un Alpha è positivo, l'investimento è buono in relazione al rischio assunto dall'investitore e se è negativo, il rendimento è stato negativo in relazione al rischio.
Come calcolare il Beta di un titolo e di un portafoglio
Per calcolare il beta di un portafoglio di azioni o di titoli, è necessario sostituire la varianza o la deviazione dell'attività con quella del portafoglio, oltre ad aggiornare la correlazione o la covarianza; in base alla formula utilizzata.
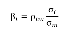
Il calcolo del β/Beta della società è il rapporto tra la covarianza tra il benchmark e il titolo e la varianza del benchmark utilizzato.

La covarianza è il risultato della correlazione e della varianza; la formula sarebbe:

Dove β (il beta) è simile alla correlazione tra l'indice e l'attività moltiplicata per il quoziente tra la varianza dell'attività e il benchmark.
Strategia con Alpha e Beta
L'alfa e il beta sono spesso utilizzati insieme per confrontare e analizzare i rendimenti di un portafoglio di titoli.
- L'Alfa si riferisce alla misurazione dei rendimenti del portafoglio.
- Per quanto riguarda il Beta, esso consente di misurare la volatilità o il rischio del passato confrontandolo con un altro mercato di maggiore ampiezza. Se il beta è pari a 1,2, il titolo è più volatile del 20% rispetto al mercato. Si tratta di un modo per utilizzare insieme Alfa e Beta in una strategia.
FAQ
Cerchi un broker per investire?