Dividendi

Il mercato azionario è uno dei mercati più attraenti in quanto è un modo sicuro per realizzare un profitto. Per questo motivo in questo post vi diremo qual è il modello di sconto sui dividendi, ancora più noto come Dividend Discount Model. Il concetto alla base del Dividend Discount Model è che gli azionisti investono in un'azienda con l'obiettivo di ottenere un ritorno sotto forma di dividendi. Gli investitori valutano un'azione in base alla quantità di denaro che si aspettano di ricevere sotto forma di dividendi nel presente e nel futuro. Quindi, per valutare un'azione utilizzando il DDM, è necessario calcolare il valore totale dei pagamenti dei dividendi che si prevede che un'azione produca nei prossimi anni.
È necessario indicare che un dividendo in azioni è una distribuzione degli utili aziendali, attraverso il quale una società o azienda eroga una certa quantità di denaro.
Generalmente, quando una società distribuisce i propri dividendi lo fa previa autorizzazione del Consiglio di Amministrazione e con cadenza semestrale.
Il Dividend Discount Model (DDM), o Modello di Sconto sui Dividendi, è un metodo quantitativo utilizzato per valutare il prezzo delle azioni di un'azienda. Questo modello si basa sull'assunzione che il prezzo equo attuale di un'azione sia uguale alla somma di tutti i dividendi futuri dell'azienda scontati al loro valore attuale. In altre parole, il DDM cerca di determinare il valore intrinseco di un'azione in base alle aspettative sui dividendi futuri.
Ma qual è il modello di sconto sui dividendi o il modello di sconto sui dividendi DDM (Dividend Discount Model)? È un modello utilizzato principalmente per valutare o stimare il costo delle azioni di una società o azienda.
Questo modello si concentra sulla teoria che il prezzo di un'azione equivale al prezzo dei dividendi che l'azienda sta per distribuire, scontato il suo valore attuale netto. Questa misura ci permette di identificare se il titolo è sottovalutato o se il suo valore è recentemente salito sul mercato.
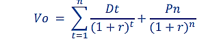
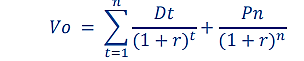
La formula utilizzata per realizzare il modello di sconto del dividendo e stabilire il prezzo dell'azione è la seguente:

Il valore di un'azione al momento del calcolo è zero, rappresentato da Vo che è pari allo sconto dei suoi dividendi futuri; (Dt) più il prezzo atteso dell'azione al momento della sua vendita nell'anno n (Pn) e il tasso di sconto è il tasso di rendimento atteso (r).
Allo stesso modo, il tasso di rendimento atteso è la redditività minima richiesta dell'investimento, che non è superiore al tasso privo di rischio più il premio per il rischio associato a tale azione. Quindi, maggiori sono i rischi percepiti per l'azienda, maggiore è la redditività che dovremo pretendere dall'investimento effettuato.
Vuoi sapere quali sono le migliori azioni per dividendi? Leggi questo articolo.
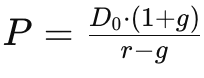
Uno dei modelli più importanti e conosciuti nel modello di sconto sui dividendi è il modello di crescita di Gordon. Il Gordon Growth Method afferma che il valore di un'azione al tempo 0 (Vo) è uguale al dividendo del periodo successivo diviso per il tasso di rendimento atteso meno il tasso di crescita del dividendo.
Il Modello di Gordon e il Dividend Discount Model (DDM) sono entrambi metodi utilizzati per valutare il valore attuale di una società basandosi sui dividendi futuri attesi. Tuttavia, il Modello di Gordon può essere visto come un caso specifico del più ampio Dividend Discount Model. Ecco le principali differenze:

Dove P è il prezzo dell'azione, D è il dividendo più recente, g il tasso di crescita costante dei dividendi e r il tasso di sconto o il rendimento richiesto.
In sintesi, mentre il DDM offre un quadro generale per la valutazione delle azioni basato sui dividendi futuri, il modello di Gordon fornisce una formula specifica per il calcolo del valore di un'azione assumendo una crescita costante dei dividendi. La scelta tra i due metodi dipende dalle caratteristiche dell'azienda in esame e dalle aspettative di crescita dei suoi dividendi.
Il DDM richiede una quantità considerevole di speculazione, poiché coinvolge la previsione dei dividendi futuri. Anche quando viene applicato a aziende stabili e affidabili che pagano dividendi, è comunque necessario fare molte ipotesi sulle loro prestazioni future.
Il modello si basa sull'assunzione che i dividendi siano costanti o crescano a un tasso costante nel tempo. Tuttavia, la previsione dei dividendi futuri è un compito complesso e soggetto a molte incertezze. Anche per le aziende stabili che pagano dividendi regolari, può essere difficile prevedere esattamente quali saranno i pagamenti dei dividendi l'anno prossimo, figuriamoci a distanza di anni.
Nessun modello DDM, per quanto complesso, è in grado di risolvere il problema di prevedere i flussi di cassa futuri delle azioni ad alto potenziale di crescita. La maggior parte delle azioni ad alto potenziale di crescita non paga dividendi. Al contrario, reinvestono gli utili nell'azienda con la speranza di fornire ai soci rendimenti attraverso un aumento del prezzo delle azioni.
Se il tasso di crescita dei dividendi di un'azienda supera il tasso di rendimento atteso, non è possibile calcolare un valore poiché si ottiene un denominatore negativo nella formula. Le azioni non hanno un valore negativo. Consideriamo un'azienda con un dividendo in crescita del 20% mentre il tasso di rendimento atteso è solo del 5%: nel denominatore (r-g), si otterrebbe -15% (5% - 20%).
In effetti, anche se il tasso di crescita non supera il tasso di rendimento atteso, le azioni ad alto potenziale di crescita, che non pagano dividendi, sono ancora più difficili da valutare utilizzando questo modello. Se si spera di valutare un'azione ad alto potenziale di crescita con il Dividend Discount Model, la valutazione si baserà solo su congetture sul futuro profitto dell'azienda e sulle decisioni politiche relative ai dividendi.
Nella realtà, le prestazioni della maggior parte delle aziende variano di trimestre in trimestre e di anno in anno a seconda di numerosi fattori imprevedibili. I dividendi che le aziende pagano variano in base ai loro profitti.
Per superare il problema dei dividendi irregolari, i modelli a più fasi prendono in considerazione diverse fasi di crescita dell'azienda. Gli analisti di azioni costruiscono modelli di previsione complessi che riflettono molte fasi di crescita diverse per cercare di riflettere meglio le prospettive reali. Ad esempio, un modello a più fasi può prevedere che un'azienda avrà un dividendo che crescerà del 5% per sette anni, del 3% per i successivi tre anni e poi del 2% in perpetuo.
Tuttavia, anche questo approccio introduce ulteriori ipotesi nel modello. Non si assume che un dividendo cresca a un tasso costante, ma è necessario indovinare quando e di quanto cambierà un dividendo nel tempo.
Il Dividend Discount Model non è l'unico modello di valutazione disponibile e non è adatto a tutte le situazioni. Tuttavia, imparare come funziona incoraggia a riflettere sul valore reale di un'azione.
Il modello obbliga gli investitori a valutare diverse ipotesi sulla crescita e sulle prospettive future. Se non altro, il DDM dimostra il principio fondamentale secondo cui il valore di un'azienda è dato dalla somma dei suoi flussi di cassa futuri scontati. Se i dividendi sono o meno la misura corretta del flusso di cassa è un'altra questione.
La sfida consiste nel rendere il modello il più applicabile possibile alla realtà, utilizzando le ipotesi più affidabili disponibili.
In conclusione, il Dividend Discount Model (DDM) rappresenta uno strumento fondamentale per gli investitori focalizzati sui dividendi, offrendo una metodologia chiara per valutare il valore intrinseco delle azioni basato sui futuri pagamenti di dividendi. Attraverso l'analisi del payout ratio, gli investitori possono determinare la sostenibilità dei dividendi futuri, un aspetto cruciale per chi desidera investire in dividendi. Comprendere cosa sono i dividendi e come essi contribuiscono alla crescita del capitale nel lungo termine è essenziale per identificare le migliori opportunità di investimento.
Guardando al futuro, il calendario dei dividendi per il 2024 può offrire preziose indicazioni su quali aziende staccheranno dividendi e quando, permettendo agli investitori di pianificare strategicamente i loro investimenti. Inoltre, le azioni con dividendi in crescita da 50 anni e i dividendi aristocratici rappresentano categorie di investimento particolarmente attraenti per chi cerca rendimenti stabili e affidabili nel tempo. Queste aziende non solo hanno dimostrato una capacità eccezionale di aumentare i pagamenti ai propri azionisti anno dopo anno, ma offrono anche una certa tranquillità in termini di solidità finanziaria e affidabilità.
Vuoi investire in dividendi?

Gli investimenti comportano rischi e il valore può variare, con possibili perdite.